県農業振興部工事入札 90%くじ引きの超常現象
2021年04月27日
今どきの入札で「9割がくじびき」など珍しくないかもしれない。県巻農業振興部の入札(工事)では下限額と同額のフダがずらっと並び、ことごとくくじ引きとなる。県の農地関連はどこもそうかと言えば、むしろ同振興部の特異体質らしい。「くじ引きで落札者を決めれば、不正が入り込む余地がない」というのだが…。
全フダ同額も
「くじ引き率90%」。そう聞いたところで、建設業界の関係者は大して驚くことはないだろう。例えば新潟市の場合、土木工事などはほとんど同額のフダが複数入り、落札者の決定はくじ引きで行われる。積算の内訳が比較的シンプルな舗装や道路改良など、くじ引きでないものを見つけるのが難しいくらいだ。
その昔、紙で入札を行っていた頃は、実際に業者がくじ引きをした。くじを引く順番を決めるため、黒っぽいスーツを着た大の大人たちがジャンケンすることもあった。くじはたいてい筒に入った割りばしのようなもの。今どきは電子入札が日常となり、くじも「ハッシュ関数」とやら凡人にはなかなか理解し難い手法で行われる。
入札制度について、ある自治体OBの解説は以下のよう。
「入札の透明性が求められ、積算に関する役所側の数字がオープンになりました。そして積算ソフトの導入などで、業者側の積算精度も向上したため、1円単位で金額が当てられてしまうこともあったんです。
こうなると変に勘繰られるので、予定価格や最低制限価格を万円単位などにしたんですね。業者の積算は1円単位で当てる精度ですから、端数を切り捨てた万円単位にすれば同じ金額のフダがずらっと並び、くじ引きになる。くじなら不正を疑われることもないですから」
入札制度とは「役人が疑われないようにする」という目的のために変更されてきたのだろうか…。かくして役所の入札ではくじ引きが全盛時代を迎えた。だがくじの蔓延は業者の積算努力、営業意欲をそぐことになる。
そこで、くじ引き対策として、配置する交通誘導員や敷き鉄板の数を微妙に変えるなど、決して当てられない努力をした自治体があった。それが長岡市で、かえって不正の温床となり、一昨年のことだが、同市で官製談合事件が発覚した。
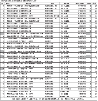
前置きはともかく、別表は令和2(2020)年度、県巻農業振興部(巻農地)の入札結果(工事)を示したもの。同年度で37件の入札が行われ、このうち33件、89%余、およそ9割はくじ引きで落札者が決められた。37件は1件を除き通常型指名競争入札だった。
別表の右端は棄権や辞退を除き、実際に入札で金額を入れた業者の数と、落札者と同額だったフダの数(落札者分も含む)。37件の入札で、参加業者のフダがすべて同額だったものが3件あった。…続きは本誌













